Attualità
IV gamma: estendere la vita commerciale riducendo lo scarto e senza perdere qualità
Studio sperimentale IZS Venezie per ORTOROMI: qualità e sicurezza confermate, con focus su Listeria e variabilità di lotto

Le insalate di IV gamma sono prodotti altamente deperibili, nei quali le fasi di preparazione e lavaggio assumono un ruolo fondamentale nel garantire la sicurezza dell’alimento e la conservazione delle proprietà organolettiche durante la shelf-life.
Nell’ottica del miglioramento continuo dei processi, e della riduzione dello scarto alimentare, recentemente è stato condotto presso l’Istituto Zooprofilattico Sperimentale delle Venezie uno studio sperimentale commissionato dall’azienda ORTOROMI Soc. Coop. Agricola. Lo studio ha confrontato il lavaggio tradizionalmente impiegato dall’azienda con una procedura di lavaggio combinata basata sull’uso sequenziale di due coadiuvanti tecnologici nelle acque di processo, volto a verificare se tale approccio potesse consentire un prolungamento della shelf-life di tre giorni, senza compromettere la qualità del prodotto e i requisiti di sicurezza alimentare.
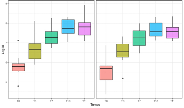
Le prove sono state condotte su 10 lotti di produzione. I campioni sono stati monitorati durante la conservazione refrigerata (7°C) attraverso analisi microbiologiche e valutazioni visive ed organolettiche del prodotto. Parallelamente, è stato effettuato un Challenge test per valutare l’efficacia del lavaggio nel ridurre la contaminazione da Listeria monocytogenes.

I risultati dello studio di shelf-life evidenziano una marcata variabilità microbiologica tra i diversi lotti di produzione, osservata sia nelle materie prime sia nei prodotti finiti, a conferma dell’importanza della qualità iniziale del prodotto.
Per quanto riguarda i batteri cosiddetti “indicatori”, ossia batteri che non hanno la capacità di causare malattie ma che vengono usati per valutare la qualità microbiologica dei prodotti, si è osservato un aumento nel tempo in entrambe le tipologie di insalata analizzate (insalata Iceberg e lattughino). Le analisi condotte dopo 7 e 10 giorni di conservazione non hanno mostrato differenze significative, mentre qualche differenza è stata osservata al giorno 11. Il prodotto inoltre ha mantenuto caratteristiche organolettiche idonee per tutta la durata della conservazione.
Il challenge test ha evidenziato che la procedura di lavaggio è in grado di determinare una riduzione significativa della contaminazione iniziale da Listeria monocytogenes confermando l’efficacia del lavaggio in entrambe le tipologie di insalata.
Nel complesso, lo studio conferma che la gestione della shelf-life dei prodotti di IV gamma richiede un approccio integrato, in cui la procedura di lavaggio consente una riduzione significativa delle contaminazioni iniziali eventualmente presenti. Tale azione deve essere supportata da un attento rispetto della catena del freddo per tutta la durata della vita commerciale del prodotto. La qualità della materia prima e il controllo delle condizioni di conservazione giocano un ruolo determinante nel garantire prodotti sicuri e di elevata qualità lungo tutta la vita commerciale la cui estensione, seppur limitata, può essere presa in considerazione. (lg)


Fonte: Studio sperimentale IZS Venezie per ORTOROMI




















